本文主要参考了SSD原理与实现。
前言
目标检测近年来已经取得了很重要的进展,主流的算法主要分为两个类型(参考RefineDet):
(1)two-stage方法,如R-CNN系算法,其主要思路是先通过启发式方法(selective search)或者CNN网络(RPN)产生一系列稀疏的候选框,然后对这些候选框进行分类与回归,two-stage方法的优势是准确度高;
(2)one-stage方法,如Yolo和SSD,其主要思路是均匀地在图片的不同位置进行密集抽样,抽样时可以采用不同尺度和长宽比,然后利用CNN提取特征后直接进行分类与回归,整个过程只需要一步,所以其优势是速度快,但是均匀的密集采样的一个重要缺点是训练比较困难,这主要是因为正样本与负样本(背景)极其不均衡(参见Focal Loss),导致模型准确度稍低。
不同算法的性能如下图所示,可以看到两类方法在准确度和速度上的差异。

SSD算法,其英文全名是Single Shot MultiBox Detector,Single shot指明了SSD算法属于one-stage方法,MultiBox指明了SSD是多框预测。从上图也可以看到,SSD算法在准确度和速度(除了SSD512)上都比Yolo要好很多。下图给出了不同算法的基本框架图,对于Faster R-CNN,其先通过CNN得到候选框,然后再进行分类与回归,而Yolo与SSD可以一步到位完成检测。相比Yolo,SSD有如下几个不同点:
- 采用CNN来直接进行检测,而不是像Yolo那样在全连接层之后做检测
- SSD提取了不同尺度的特征图来做检测,大尺度特征图(较靠前的特征图)可以用来检测小物体,而小尺度特征图(较靠后的特征图)用来检测大物体
- SSD采用了不同尺度和长宽比的先验框(Prior boxes, Default boxes,在Faster R-CNN中叫做锚,Anchors)。
Yolo算法缺点是难以检测小目标,而且定位不准,但是这几点重要改进使得SSD在一定程度上克服这些缺点。下面我们详细讲解SDD算法的原理。

设计理念
SSD和Yolo一样都是采用一个CNN网络来进行检测,但是却采用了多尺度的特征图,其基本架构如下所示:

SSD核心设计理念可以总结为如下几点:
采用多尺度特征图用于检测
所谓多尺度采用大小不同的特征图,CNN网络一般前面的特征图比较大,后面会逐渐采用stride=2的卷积或者pool来降低特征图大小,这正如上图所示,一个比较大的特征图和一个比较小的特征图,它们都用来做检测。这样做的好处是小的特征图卷积核感受视野比较大,且每一个单元格对应在原图中的尺寸比较大,所以可以设定比较大的特征图来用来检测相对较小的目标,而小的特征图负责检测大目标,如下图所示,8x8的特征图可以划分更多的单元,但是其每个单元的先验框尺度比较小。

采用卷积进行检测
与Yolo最后采用全连接层不同,SSD直接采用卷积对不同的特征图来进行提取检测结果。对于形状为$m \times n \times p$的特征图,只需要采用$3 \times 3 \times p$这样比较小的卷积核得到检测值。
设置先验框
在Yolo中,每个单元预测多个边界框,但是其都是相对这个单元本身(正方块),但是真实目标的形状是多变的,Yolo需要在训练过程中自适应目标的形状。而SSD借鉴了Faster R-CNN中anchor的理念,每个单元设置尺度或者长宽比不同的先验框,预测的边界框(bounding boxes)是以这些先验框为基准的,在一定程度上减少训练难度。一般情况下,每个单元会设置多个先验框,其尺度和长宽比存在差异,如下图所示,可以看到每个单元使用了4个不同的先验框,图片中猫和狗分别采用最适合它们形状的先验框来进行训练,后面会详细讲解训练过程中的先验框匹配原则。

SSD的检测值也与Yolo不太一样。对于每个单元的每个先验框,其都输出一套独立的检测值,对应一个边界框,主要分为两个部分。第一部分是各个类别的置信度或者评分,值得注意的是SSD将背景也当做了一个特殊的类别,如果检测目标共有$c$个类别,SSD其实需要预测$c+1$个置信度值,其中第一个置信度指的是不含目标或者属于背景的评分。为了表述方便,后面我们说$c$个类别置信度值时,请记住里面包含背景那个特殊的类别,即真实的检测类别只有$c-1$个。在预测过程中,置信度最高的那个类别就是边界框所属的类别,特别地,当第一个置信度值最高时,表示边界框中并不包含目标。第二部分就是边界框的location,包含4个值$(cx,cy,w,h)$,分别表示边界框的中心坐标以及宽高。但是真实预测值其实只是边界框相对于先验框的转换值(paper里面说是offset,但是觉得transformation更合适,参见R-CNN)。先验框用$d=(d^{cx},d^{cy},d^{w},d^{h})$表示,其对应边界框用$d=(b^{cx},b^{cy},b^{w},b^{h})$表示,那么边界框的预测值$l$其实是$b$相对于$d$的转换值:
习惯上,我们称上面这个过程为边界框的编码(encode),预测时,你需要反向这个过程,即进行解码(decode),从预测值$l$中得到边界框的真实位置$b$:
然而,在SSD的Caffe源码实现中还有trick,那就是设置variance超参数来调整检测值,通过bool参数variance_encoded_in_target来控制两种模式,当其为True时,表示variance被包含在预测值中,就是上面那种情况。但是如果是False(大部分采用这种方式,训练更容易?),就需要手动设置超参数variance,用来对$l$的4个值进行放缩,此时边界框需要这样解码:
综上所示,对于一个大小为$m \times n$的特征图,共有$mn$个单元,每个单元设置的先验框数目记为$k$,那么每个单元共需要$(C+4)k$个预测值,所有的单元共需要$(C+4)kmn$个预测值,由于SSD采用卷积做检测,所以就需要$(C+4)k$个卷积核完成这个特征图的检测过程。
网络结构
SSD采用VGG16作为基础模型,然后在VGG16的基础上新增了卷积层来获得更多的特征图以用于检测。SSD的网络结构如图5所示。上面是SSD模型,下面是Yolo模型,可以明显看到SSD利用了多尺度的特征图做检测。模型的输入图片大小是$300\times300$(还可以是$500 \times 500$,其与前者网络结构没有差别,只是最后新增一个卷积层,本文不再讨论)。

采用VGG16做基础模型,首先VGG16是在ILSVRC CLS-LOC数据集预训练。然后借鉴了DeepLab-LargeFOV,分别将VGG16的全连接层fc6和fc7转换成$3 \times 3$卷积层conv6和$1\times1$的卷积层conv7,同时将池化层pool5由原来的stride=2的$2 \times 2$变成了stride=1的$3 \times 3$(猜想是不想reduce特征图大小),为了配合这种变化,采用了一种Atrous Algorithm,其实就是conv6采用扩展卷积或带孔卷积(Dilation Conv),其在不增加参数与模型复杂度的条件下指数级扩大卷积的视野,其使用扩张率(dilation rate)参数,来表示扩张的大小,如下图所示,(a)是普通的$3 \times 3$卷积,其视野为$3 \times 3$,(b)是扩张率为$2$,此时视野变成了$7 \times 7$,(c)扩张率为4,视野扩大为$15 \times 15$,但是视野的特征更稀疏了。Conv6采用$3 \times 3$大小但dilation rate=6的扩展卷积。

然后移除dropout层和fc8层,并新增一系列卷积层,在检测数据集上做finetuing。
其中VGG16中的Conv4_3层将作为用于检测的第一个特征图。conv4_3层特征图大小是$38 \times 38$,但是该层比较靠前,其norm较大,所以在其后面增加了一个L2 Normalization层(参见ParseNet),以保证和后面的检测层差异不是很大,这个和Batch Normalization层不太一样,其仅仅是对每个像素点在channle维度做归一化,而Batch Normalization层是在[batch_size, width, height]三个维度上做归一化。归一化后一般设置一个可训练的放缩变量gamma,使用TF可以这样简单实现:
1 | # l2norm (not bacth norm, spatial normalization) |
从后面新增的卷积层中提取Conv7,Conv8_2,Conv9_2,Conv10_2,Conv11_2作为检测所用的特征图,加上Conv4_3层,共提取了6个特征图,其大小分别是$(38,38),(19,19),(10,10),(5,5),(3,3),(1,1)$,但是不同特征图设置的先验框数目不同(同一个特征图上每个单元设置的先验框是相同的,这里的数目指的是一个单元的先验框数目)。先验框的设置,包括尺度(或者说大小)和长宽比两个方面。对于先验框的尺度,其遵守一个线性递增规则:随着特征图大小降低,先验框尺度线性增加:
其中$m$为特征图的个数,这里为5,因为第一层(Conv4_3层)是单独设置的,$S_k$表示先验框大小相对于图片的比例,而$S_{min}$和$S_{max}$表示比例的最小值与最大值,paper里面取0.2和0.9。对于第一个特征图,其先验框的尺度比例一般设置为$S_{min}/2=0.1$,那么尺度为$300 \times 0.1=30$。对于后面的特征图,先验框尺度按照上面公式线性增加,但是先将尺度比例先扩大100倍,此时增长步长为 ,这样各个特征图的$S_k$为20,37,54,71,88,将这些比例除以100,然后再乘以图片大小,可以得到各个特征图的尺度为60,111,162,213,26,这种计算方式是参考SSD的Caffe源码。综上,可以得到各个特征图的先验框尺度30,60,111,162,213,264。对于长宽比,一般选取
,给出特定的长宽比,按如下公式计算先验框的宽度与高度(后面的$S_k$均指的是先验框实际尺度,而不是尺度比例):
默认情况下,每个特征图会有一个$a_r=1$且尺寸为$S_k$的先验框,除此之外,还会设置一个尺度为$S’_k=\sqrt{S_kS_{k+1}}$且$a_r=1$的先验框,这样每个特征图都设置了两个长宽比为1但大小不同的正方形先验框。注意最后一个特征图需要参考一个虚拟$S_{m+1}=300\times150 /100=315$来计算$S’_m$。因此,每个特征图一共有6个先验框$\{1,2,3,\frac{1}{2},\frac{1}{2},1’\}$,但是在实现时,Conv4_3,Conv10_2和Conv11_2层仅使用4个先验框,它们不使用长宽比为$3,\frac{1}{3}$的先验框。每个单元的先验框的中心点分布在各个单元的中心,即,其中$|f_k|$表示特征图大小。
得到了特征图之后,需要对特征图进行卷积得到检测结果,下图给出了一个$5 \times 5$大小的特征图的检测过程。其中,Priorbox是得到先验框,前面已经介绍了生成规则。检测值包含两个部分:类别置信度和边界框位置,各采用一次$3 \times 3$卷积来完成。另$n_k$为该特征图所采用的先验框数目,那么类别置信度需要的卷积核数量为$n_k \times c$,而边界框位置需要的卷积核数量为$n_k \times 4$。由于每个先验框都会预测一个边界框,所以SSD300一共可以预测$38 \times 38 \times 4 +19 \times 19 \times 6 +10 \times 10 \times 6 +5 \times 5 \times 6 +3 \times 3 \times 4 + 1 \times 1 \times 4 = 8732$个边界框,这是一个相当庞大的数字,所以说SSD本质上是密集采样。

训练过程
先验框匹配
在训练过程中,首先要确定训练图片中的ground truth(真实目标)与哪个先验框来进行匹配,与之匹配的先验框所对应的边界框将负责预测它。在Yolo中,ground truth的中心落在哪个单元格,该单元格中与其IOU最大的边界框负责预测它。但是在SSD中却完全不一样,SSD的先验框与ground truth的匹配原则主要有两点。
- 首先,对于图片中每个ground truth,找到与其IOU最大的先验框,该先验框与其匹配,这样,可以保证每个ground truth一定与某个先验框匹配。通常称与ground truth匹配的先验框为正样本(其实应该是先验框对应的预测box,不过由于是一一对应的就这样称呼了),反之,若一个先验框没有与任何ground truth进行匹配,那么该先验框只能与背景匹配,就是负样本。一个图片中ground truth是非常少的, 而先验框却很多,如果仅按第一个原则匹配,很多先验框会是负样本,正负样本极其不平衡,所以需要第二个原则。
- 第二个原则是:对于剩余的未匹配先验框,若某个ground truth的IOU大于某个阈值(一般是0.5),那么该先验框也与这个ground truth进行匹配。这意味着某个ground truth可能与多个先验框匹配,这是可以的。但是反过来却不可以,因为一个先验框只能匹配一个ground truth,如果多个ground truth与某个先验框IOU大于阈值,那么先验框只与IOU最大的那个ground truth进行匹配。
第二个原则一定在第一个原则之后进行,仔细考虑一下这种情况,如果某个ground truth所对应最大IOU小于阈值,并且所匹配的先验框却与另外一个ground truth的IOU大于阈值,那么该先验框应该匹配谁,答案应该是前者,首先要确保某个ground truth一定有一个先验框与之匹配。但是,这种情况我觉得基本上是不存在的。由于先验框很多,某个ground truth的最大IOU肯定大于阈值,所以可能只实施第二个原则既可以了,这里的TensorFlow版本就是只实施了第二个原则,但是这里的Pytorch两个原则都实施了。下图为一个匹配示意图,其中绿色的GT是ground truth,红色为先验框,FP表示负样本,TP表示正样本。

尽管一个ground truth可以与多个先验框匹配,但是ground truth相对先验框还是太少了,所以负样本相对正样本会很多。为了保证正负样本尽量平衡,SSD采用了hard negative mining,就是对负样本进行抽样,抽样时按照置信度误差(预测背景的置信度越小,误差越大)进行降序排列,选取误差的较大的top-k作为训练的负样本,以保证正负样本比例接近1:3。
损失函数
训练样本确定了,然后就是损失函数了。损失函数定义为位置误差(locatization loss, loc)与置信度误差(confidence loss, conf)的加权和:
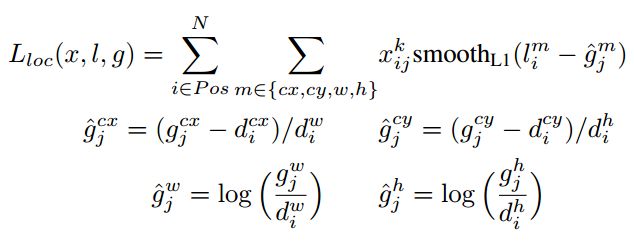
其中$N$是先验框的正样本数量。这里$x_{ij}^p \in {1,0}$为一个指示参数,当$x_{ij}^p = 1$时表示第$i$个先验框与第$j$个ground truth匹配,并且ground truth的类别为$p$。$c$为类别置信度预测值。$l$为先验框的所对应边界框的位置预测值,而$g$是ground truth的位置参数。对于位置误差,其采用Smooth L1 loss,定义如下:

由于$x_{ij}^p$的存在,所以位置误差仅针对正样本进行计算。值得注意的是,要先对ground truth的$g$进行解码得到$\hat{g}$,因为预测值$l$也是编码值,若设置variance_encoded_in_target=True,编码时要加上variance:
对于置信度误差,其采用softmax loss:

权重系数$\alpha$通过交叉验证设置为1。
数据扩增
采用数据扩增(Data Augmentation)可以提升SSD的性能,主要采用的技术有水平翻转(horizontal flip),随机裁剪加颜色扭曲(random crop & color distortion),随机采集块域(Randomly sample a patch)(获取小目标训练样本),如下图所示:

预测过程
预测过程比较简单,对于每个预测框,首先根据类别置信度确定其类别(置信度最大者)与置信度值,并过滤掉属于背景的预测框。然后根据置信度阈值(如0.5)过滤掉阈值较低的预测框。对于留下的预测框进行解码,根据先验框得到其真实的位置参数(解码后一般还需要做clip,防止预测框位置超出图片)。解码之后,一般需要根据置信度进行降序排列,然后仅保留top-k(如400)个预测框。最后就是进行NMS算法,过滤掉那些重叠度较大的预测框。最后剩余的预测框就是检测结果了。

