调制方式分类
根据信道中传输的信号是否经过调制,将通信系统分为:
- 基带传输系统:将未经调制的信号直接传送,如市内电话、有线广播
- 带通传输系统:各种信号调制后传输的总称,如表:
| 调制方式 | 用途举例 | |||||
|---|---|---|---|---|---|---|
| a | b | ![]() | a | b | ![]() | |
| 0 | 0 | 90° | 1 | 1 | 270° | |
| 0 | 1 | 0° | 1 | 0 | 180° |
注:下图大概意思对,但是具体角度不对:

UQPSK
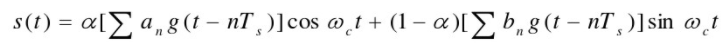
非均衡的QPSK信号,与QPSK信号不同的是,正交的两路信号幅度不等,功率不同,数学公式表示为:

其中,α 是均衡因子,表示正交的两路幅度。
当平衡因子 α 为0或1时,UQPSK 即为 BPSK 信号; 当平衡因子α 为0.5,UQPSK 信号即为 QPSK 信号。
OQPSK
在QPSK体制中,相邻码元最大相位差最大为180°。由于这样的相位突变在频带受限的系统中会引起信号包络很大的起伏。为了减少此相位突变,将两个正交分量的两个比特 a 和 b 在时间上错开半个码元,使之不可能同时改变。这样安排后相邻码元相位差的最大值仅为90°,从而减小信号幅度的起伏。这样的体制称为偏置正交相移键控(OQPSK)。
OQPSK和QPSK唯一的不同是,对于QPSK,两个比特 a 和 b 的持续时间原则上不同;而对于OQPSK,a 和 b 的持续时间必须相同。




