1.1 通信的基本概念
消息:通信系统传输的对象,信息的载体
信息:消息中所包含的有效内容
信号:消息的传输载体
模拟信号:载荷消息的信号参量取值是连续的(不可数,无穷多)
数字信号:载荷消息的信号参量只有有限个取值
综上所述:
- 消息是信息的物理形式
- 信息是消息的有效内容
- 信号是消息的传输载体
电信就是利用电信号传输消息中所包含的信息。
1.2 通信系统模型
1.2.1 通信系统一般模型

- 信源(信息源):把各种信息转为原始电信号。根据信息的种类不同,可分为数字信源和模拟信源
- 发送设备:产生适合于在信道中传输的信号,使发送信号的特性和信道特性相匹配,具有抗信道于扰的能力,并且具有足够的功率以满足远距离传输的需要。
- 信道:一种物理媒介。用来将发自设备的信号传输到接收端。在无线通信中,可以是自由空间;在有线信道中,可以是明线、电缆、光纤。信道既给信号以通路,也会对信号产生各种干扰和噪声。
- 接收设备:将信号放大和反变换,目的是从收到减损的接收信号中正确恢复出原始电信号。
- 信宿:传送信息的目的地,功能与信源相反,把原始电信号还原成相应的信息,如扬声器等。
根据信道中传输的是模拟信号还是数字信号,相应地把通信系统分为模拟通信系统和数字通信系统。
1.2.2 模拟通信系统模型
- 基带信号
发送端将信号转化为原始电信号。这里的原始电信号称为基带信号,基带的含义为基本频带,即从信源发出或送达信宿的信号的频 带,它的频谱通常从零频附近开始,如语音信号的频率范围为300Hz~2400Hz,图像信号的频率范围为0~6MHz. - 带通信号
有些信号可以直接传输基带信号,但是自由空间无法传输这些信号。因此,要将基带信号经过调制器变换成适合在信道中传输的信号。经过调制以后的信号称为已调信号,它应有两个基本特征:
- 携带有用信息
- 频谱通常带有带通形式,所以又称带通信号

1.2.3 数字通信系统模型
信源编码和译码
两个基本功能:
一是提高信息传输的有效性,即通过某种压缩编码技术设法减少码元数目以降低码元速率。
二是完成数/模(A/D)转换。信道编码与译码
作用为进行差错控制,数字信号在传输过程中受到噪声等影响而发生差错。为了减少差错,信道编码器对传输的信息码元按照一定的规则加上保护成分(监督码元),组成所谓“抗干扰编码”。加密与解密
为了保证所传信息的安全,人为地将被传输的数字序列扰乱,即加上密码。数字调制与解调
把数字基带信号的频谱搬移到高频处,形成适合在信道中传输的带通信号。在接收端采用相干解调或非相干解调还原数字基带信号。同步
使收发两端的信号在时间上保持步调一致,是保证数字通信系统有序、准确、可靠工作的前提条件。按照同步的功用不同,可以分为载波同步、位同步、群同步和网同步。
同步单元也是系统的组成部分,但是没有在下图中画出。

1.3 通信系统分类与通信方式
1.3.1 通信系统的分类
- 按照调制方式分类:调制方式
- 按照信号特征分类:模拟通信系统和数字通信系统
- 按传输介质:有线通信系统和无线通信系统
- 按照工作频段:长波、中波、短波、远红外线通信等
- 按信号复用方式分类:频分复用(用频谱搬移的方法使不同信号占据不同的频率范围)、时分复用(用脉冲调制的方法使不同信号占据不同的时间区间)和码分复用(用正交的编码分别携带不同信号),此外,还有波分复用、空分复用
1.3.2 通信方式
对于点对点之间的通信,按消息传递的方向和时间的关系,通信方式可以分为单工、半双工、全双工通信。
- 半工通信:消息只能单方向传输的工作方式。通信双方只有一个可以进行发送,另一个只能接收,如广播,遥控,遥测,无线寻呼
- 半双工通信:通信双方都能收发消息,但不能同时进行接收和发送。如使用同一载频的普通对讲机,问询以及检索。
- 全双工通信:通信双方可同时收发消息的工作方式。如电话

在数据通信中,按数据码元传输方式不同,可分为并行传输(节省传输时间,速度快,成本高)和串行传输(成本低,速度慢,需要同步)。
1.4 信息及其度量
消息所表达的事件越不可能发生,越不可预测,信息量越大。例如,某客机坠毁比明天下雨这条消息包含更多的信息。对于接收者,只有消息中不确定的内容才构成信息。
假设 P(x) 表示消息发生的概率,I 表示消息中所含的信息量。则 I 和 P(x) 之间的关系式为:
当上式中 a=2 ,则信息量的单位为比特(bit),可简写为b;若 a = e,则信息量的单位为奈特(nat);若 a = 10,则信息量的单位为哈特莱(Hartley)。通常使用的单位为比特,此时有:
对于等概率出现的离散信息的度量:
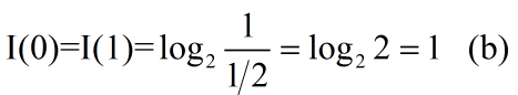
例1-1:设一个离散信源,以相等的概率发送二进制数字0和1,则每个数字的信息量:

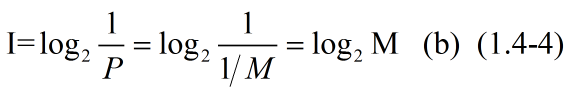
传送等概率的二进制波形之一的信息量为1b。在工程应用上,习惯把一个二进制码元称为1b。同理,传送等概率的四进制波形之一(P = 1/4)的信息量为2b,此时一个二进制波形需要两个二进制脉冲表示;传送等概率的八进制波形之一(P = 1/8)的信息量为3b,此时一个二进制波形需要三个二进制脉冲表示。
综上,对于离散信源,M个波形等概率(P=1/M)发送,且每一个波形的出现是独立的,即信源是无记忆的,则传送M进制波形之一的信息量为

式中:P为每一个波形出现的概率;M为传送的波形数。
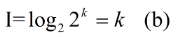
若M是2的整次幂,比如 M=2^k (k=1,2,3,…),则上式可改写为:

式中:k是二进制脉冲个数,也就是说,传送每一个M(M=2^k)进制波形的信息量就等于用二进制脉冲表示该波形所需的脉冲数目k。
下面讨论非等概率情况。

H又称为信息源的熵,单位为 b/符号,当P(xi)=1/M,每个符号等概率独立出现时,上式等同于1.4-4。此时信源有最大值。
1.5 通信系统的主要性能指标
1.5.1 有效性
对于模拟通信系统,传输相同的信源信号,所需的传输宽带越小,频带利用率越高,有效性越好。
对于数字通信系统,频带利用率定义为单位宽带(每赫)内的传输速率。即

或者:

式子(1.5-1)中,RB是码元传输速率,简称为传码率。定义为单位时间(每秒)传输码元的数目,单位为波特(Baud),因此又称RB为波特率。设每个码元的长度为TB(s),则有:

式子(1.5-2)中,Rb为信息传输速率,简称传信率,又称比特率。它定义为单位时间内传输的平均信息量,单位为比特/秒(bit/s)。
因为一个M进制的码元携带log2M比特的信息量(式子1.4-4),所以码元速率和信息速率有以下确定的关系,即

或者:

例如:设码元速率为1200Baud,若采用八进制,则信息速率为3600b/s。
若每个二进制码元的持续时间为Tb,则Tb 和 TB 的关系:

1.5.2 可靠性
模拟通信系统的可靠性通常用接收端 输出信号与噪声功率比(S/N)来度量,它反映了信号经传输后的“保真”程度和抗噪声能力。
数字通信系统的可靠性可用差错概率来度量。差错概率常用误码率和误信率表示。
误码率Pe是指错误接收的码元数在传输总码数中所占的比例,更确切的说,误码率是码元在传输过程中被传错的概率,即

误信率Pb,又称误比特率,是指错误接收的比特数在传输总比特数在传输总比特数中所占的比例。

1.6 总结
有效性和可靠性是通信系统的两个主要指标,两者相互矛盾又相对同一,且可互换。在模拟通信系统中有效性可用带宽衡量,可靠性可用输出信噪比衡量。在数字通系统中,有效性用频带利用率表示,可靠性用误码率误信率表示。
信息速率是每秒发送的比特数;码元速率是每秒发送的码元个数。码元速率在数值 上小于等于信息速率。码元速率决定了发送信号所需的传输宽带。
附件
文章中的mmap图的附件在这里
文章中的wmf的附件在这里

